Download Images Library Photos and Pictures. Electronics | Free Full-Text | THz CMOS On-Chip Antenna Array Using Defected Ground Structure | HTML PDF) A Modified Two-Antenna Method to Measure the Radiation Efficiency of Antennas in a Reverberation Chamber | Chaoyun Song and Zhihao Tian - Academia.edu 1 OH6KVP Radiation Efficiency The radiation efficiency can be calculated using the radiated power and the input power accepted by the antenna. Since they. - ppt download Micromachines | Free Full-Text | A Low-Profile and High-isolated MIMO Antenna for 5G Mobile Terminal | HTML
. A compact multiband band slot antenna for wireless applications - Khan - 2019 - Internet Technology Letters - Wiley Online Library Measured antenna gain and radiation efficiency of the proposed antenna.... | Download Scientific Diagram Dumbbell Shaped Microstrip Broadband Antenna
How to Plot Radiation Efficiency of antennas in HFSS (2020) - YouTube
How to Plot Radiation Efficiency of antennas in HFSS (2020) - YouTube
PDF] Radiation efficiency and surface waves for patch antennas on inhomogeneous substrat | Semantic Scholar
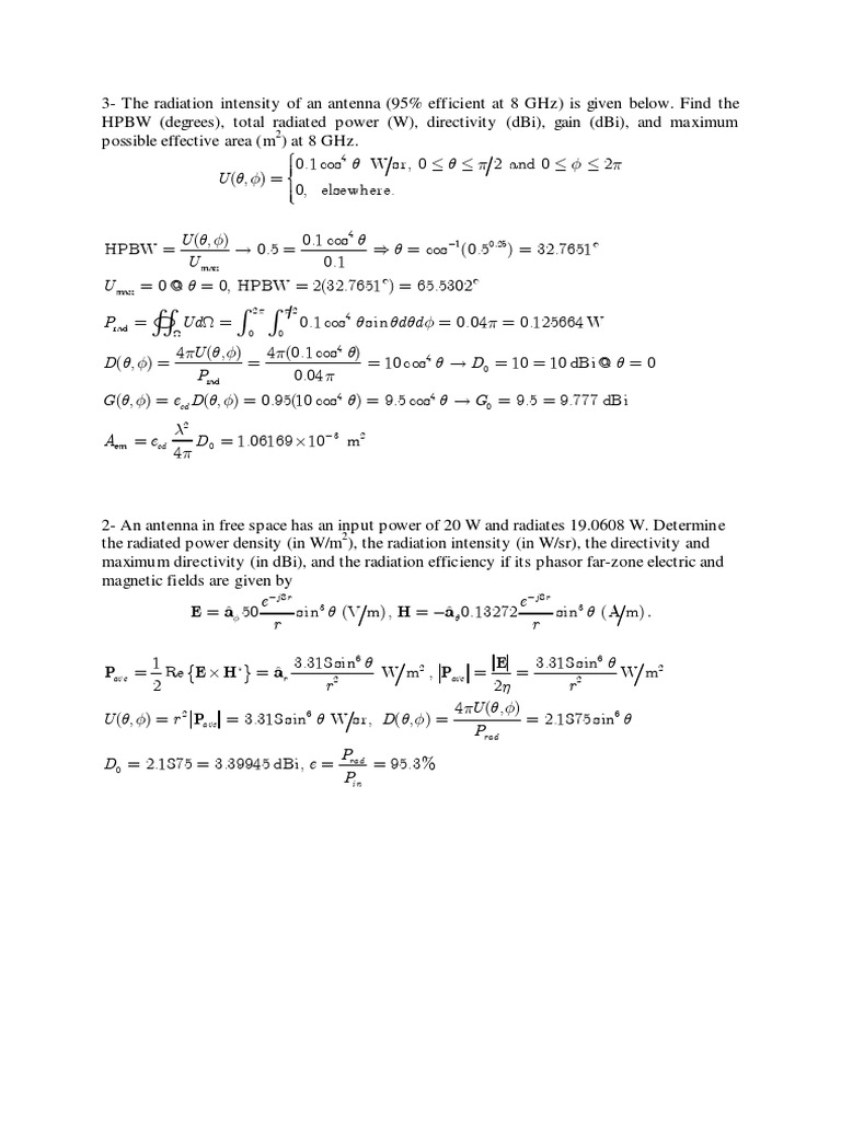
Solved: 13.17 The Radiation Efficiency Is Given By Eq. (13... | Chegg.com
Fundamental Antenna Parameters - ppt video online download
Dielectric Resonator Antenna Arrays for 5G Wireless Communications | 2020-02-06 | Microwave Journal
A compact multiband band slot antenna for wireless applications - Khan - 2019 - Internet Technology Letters - Wiley Online Library
Measured antenna gain and radiation efficiency of the proposed antenna.... | Download Scientific Diagram
Gain, Directivity, and Radiation Efficiency of BiT Array Antennas | Download Table
Antennas: from Theory to Practice 4. Antenna Basics - ppt video online download
Radiation efficiency of the proposed antenna. | Download Scientific Diagram
Probe-Fed linearly-polarized electrically-equivalent microstrip antennas on FR4 substrates
Dumbbell Shaped Microstrip Broadband Antenna
Micromachines | Free Full-Text | A Low-Profile and High-isolated MIMO Antenna for 5G Mobile Terminal | HTML
1 OH6KVP Radiation Efficiency The radiation efficiency can be calculated using the radiated power and the input power accepted by the antenna. Since they. - ppt download
5 / Radiation Efficiency for a rectangular patch Antenna | Download Scientific Diagram
Radiation Efficiency - an overview | ScienceDirect Topics
ON THE RADIATION EFFICIENCY OF COCO ANTENNAS
What sort of radiation efficiency can one expect from a folded dipole? - Amateur Radio Stack Exchange
1-basic | Antenna (Radio) | Transmission Line
Variation of the radiation efficiency and gain of the rectangular... | Download Scientific Diagram
PPT - Antennas: from Theory to Practice 4. Antenna Basics PowerPoint Presentation - ID:4111190


No comments:
Post a Comment